3eq 5

5/29 Lovesey et al. Ch.8.4 Dichroism

여기서는 주로 polarization dichroism을 다룬다. 그것은 polarization에 따라 샘플을 투과한 빛의 세기가 달라지는 것을 말한다. Wikipedia에 의하면 분자구조에 chirality가 있다면 right or left circular polarization을 넣고 투과량을 비교하는 CD(circular dichroism)실험을 했을 때 차이가 생긴다고 한다. 만약 종이 같은 amorphous한 물질로 CD 실험을 한다고 해서 각 polarization마다 차이가 발생할 것으로 생각되지는 않는다. 이처럼 샘플의 chirality 같은 특수한 성질을 밝히는 데 CD 실험을 할 수 있을 것이다. 물론 샘플 두께와 투과성(scatterer 사이의 거리가 그것의 크기보다 꽤 큰 경우 \(..

3eq 2023.05.30

5/22~28 Lovesey et al. X-ray scattering

Lovesey et al. X-ray scattering and absorption by magnetic material. Ch8. Theoretical Framework 1. Differential cross-section $$ \frac{d\sigma}{d\Omega} = \frac{mr_e^2}{m^*}\frac{q'}{q} |\bra{\mu'} \vb{G} \ket{\mu}|^2 $$ Differential cross-section은 Fermi's golden rule에 의해 transition rate를 계산하고, flux로 나누면 얻을 수 있다. (Flux) * (반응면적) = (시간당 반응량) 이어야 되기 때문이다. 따라서 transition probability matrix element의..

3eq 2023.05.28

5/19 (Lovesey. s. w) X-ray scattering by magnetic material

1. (8.1) $$ V = V_1 + V_2 $$ 너무 함축적으로 쓰여있다. 이것이 의미하는 것은 다음과 같다. 첫번째로 \( V \)는 eigenvalue와 eigenstate를 아는 solid system 또는 atom system과 free photon으로 구성된 Hamiltonian에 더해지는 perturbation이다. Perturbation은 전자기 vector potential이 있을 때 그냥 momentum을 canonical momentum으로 수정하면서 나타나는 energy correction이 된다. 다음으로, \( V_1 \)은 energy correction중에 vector potential \( \vb{A} \)에 linear한 항들을 모은 것이다. 이것에 의한 scatteri..

3eq 2023.05.20

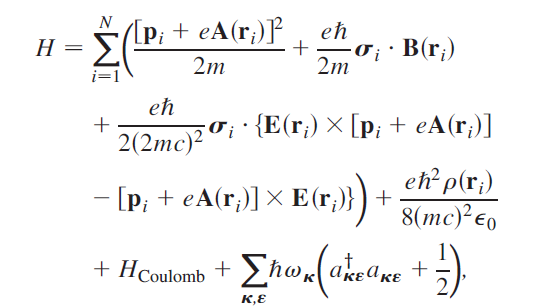
5/14 Light-matter scattering, Fermi's golden rule

1. N개의 전자와 광자가 존재하고 서로 상호작용하는 시스템을 기술하는 Hamiltonian - 소괄호 첫 번째 항은 canonical momentum으로 얻는 전자기 포텐셜 내에서의 전자 운동에너지 항이다. Canonical momentum이란 Lagrangian mechanics에서 Lagrangian에 conjugate position에 대한 의존성이 없으면 보존되는 양이다.(시간에 따라 변하지 않는 양) 전자기 포텐셜이 있을 때 Lagrangian은 다음과 같이 적을 수 있다. $$ L=\frac{1}{2}m\dot{\vec{x}}^2 -q\phi + q \dot{\vec{x}} \cdot \vec{A} $$ 여기서 \( \phi \)와 \( \vec{A} \)는 각각 전자기 scalar pote..

3eq 2023.05.15